1. Định nghĩa về Lãi kép
Lãi kép (Compounding Interest) hiểu đơn giản là tiền lãi bạn nhận được không chỉ tính trên số vốn gốc ban đầu mà còn tính trên cả số tiền lãi đã tích lũy từ các kỳ trước.
Tính Lãi kép online
Người ta thường gọi đây là quá trình “lãi mẹ đẻ lãi con”. Khi bạn để tiền lãi nhập gốc và tiếp tục sinh lời, số tiền tổng cộng sẽ tăng trưởng theo cấp số nhân thay vì cấp số cộng thông thường.
Shutterstock
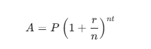
2. Công thức tính lãi kép
Để tính toán số tiền bạn nhận được trong tương lai, các nhà kinh tế sử dụng công thức:

Trong đó:
- $A$: Số tiền cuối cùng bạn nhận được (cả gốc lẫn lãi).
- $P$: Số tiền vốn ban đầu (Principal).
- $r$: Lãi suất danh nghĩa hàng năm (Annual interest rate).
- $n$: Số lần lãi được nhập gốc trong một năm.
- $t$: Số năm gửi tiền.
3. Ba yếu tố “vàng” quyết định sức mạnh của lãi kép
Để lãi kép phát huy tối đa sức mạnh, bạn cần chú ý đến 3 biến số sau:
- Sự kiên trì (Thời gian): Đây là yếu tố quan trọng nhất. Càng bắt đầu sớm, thời gian tiền sinh lời càng dài, con số cuối cùng sẽ càng khủng khiếp.
- Lãi suất: Lãi suất cao hơn tất nhiên sẽ giúp tiền tăng nhanh hơn, nhưng hãy cẩn thận với rủi ro đi kèm.
- Tiền vốn gốc: Số tiền ban đầu càng lớn thì “bệ phóng” cho lãi kép càng mạnh.
Câu nói nổi tiếng: “Lãi kép là kỳ quan thứ 8 của thế giới. Những ai hiểu nó, vận dụng nó sẽ làm giàu bằng nó; những ai không hiểu nó sẽ phải trả giá cho nó.” – Albert Einstein
Hướng dẫn sử dụng máy tính lãi kép Online
Để có kết quả chính xác nhất cho kế hoạch tài chính của bạn, hãy nhập các thông tin sau vào công cụ:
- Số tiền gốc: Số tiền bạn đang có sẵn để đầu tư ngay bây giờ.
- Lãi suất hàng năm: Mức lợi nhuận kỳ vọng mỗi năm (ví dụ: gửi tiết kiệm ngân hàng là 5-7%, đầu tư chứng khoán trung hạn là 10-15%).
- Số năm đầu tư: Khoảng thời gian bạn dự định để tiền sinh sôi mà không rút ra.
- Số tiền thêm vào mỗi năm: Số tiền bạn cam kết tiết kiệm và nạp thêm vào quỹ đầu tư này hàng năm.
Tại sao bạn nên sử dụng lãi kép thay vì lãi đơn?
Sự khác biệt giữa lãi đơn và lãi kép có thể lên đến hàng tỷ đồng sau 20-30 năm. Trong khi lãi đơn chỉ tính trên vốn gốc, lãi kép cho phép “tiền đẻ ra tiền” bằng cách tái đầu tư số lãi vừa nhận được. Đây là chìa khóa để đạt được tự do tài chính sớm hơn dự kiến.
Tần suất nhập gốc (Lãi nhập gốc) ảnh hưởng thế nào?
Càng nhập gốc thường xuyên (theo tháng, theo quý thay vì theo năm), số tiền cuối cùng bạn nhận được càng cao. Máy tính của chúng tôi hiện đang mặc định tính toán theo chu kỳ nhập gốc hàng năm để đảm bảo tính an toàn và thực tế cho các khoản đầu tư dài hạn.
Lãi suất bao nhiêu là hợp lý để tính toán?
Nếu bạn là người an toàn, hãy sử dụng con số 6% (tương đương lãi suất tiết kiệm). Nếu bạn đầu tư vào các quỹ chỉ số hoặc bất động sản, con số 10-12% là mức tham chiếu lịch sử khá phổ biến tại thị trường Việt Nam.


